Mayank Kumar

Mayank Kumar

Assistant Professor of Finance
Questrom School of Business, Boston University
My research interests lie in corporate finance and financial intermediation, with a focus on environmental finance and private equity. I study how financial frictions affect the energy transition and the role of financial markets in mitigating these frictions.
I hold a PhD in Finance from the Ross School of Business, University of Michigan.
đź“§ mkumar2@bu.edu
📍 595 Commonwealth Avenue, Boston, MA 02215

Research

We establish a causal link between carbon emissions and shareholder value using the Regional Greenhouse Gas Initiative (RGGI), which imposed cap-and-trade regulation on electric utilities in Northeastern states. While the regulation successfully reduced COâ‚‚ emissions and decreased short-term profitability, affected utilities experienced higher market-to-book ratios driven by increased expected future cash flows and demand from environmentally-focused institutional investors. Our results demonstrate that short-term profitability concerns may significantly impede carbon transition despite positive long-term value implications.
Presentations: WFA 2023, FIRS 2023, CICF 2023, Johns Hopkins Carey 2023*, CSR Conference 2023, AFA 2024*, CEMA 2025
* Presented by co-author
Carbon Emissions Research Result
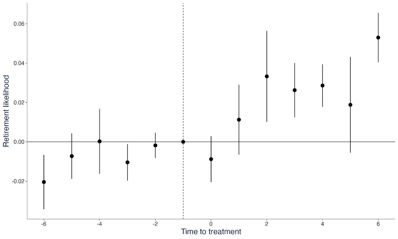
This paper demonstrates that private equity facilitates creative destruction in power generation by reallocating capital from inefficient to efficient assets. Exploiting the shale gas boom and staggered pipeline expansions as exogenous shocks, I find PE-owned coal and oil plants are significantly more likely to exit when they become uneconomic, while traditional utilities delay retirement due to political and social frictions. PE owners, less exposed to nonpecuniary pressures like labor opposition and reputational concerns, respond more efficiently to market signals. These findings suggest that well-intentioned social protections can inadvertently slow efficient exit and that PE ownership can enhance allocative efficiency.
Presentations (including scheduled): Innovations in Sustainable Finance Conference 2026
Private Equity Research Result
This paper shows that fossil fuel assets offer valuable opportunities for renewable development, and private equity firms are better positioned to identify and realize these opportunities. Using variation in solar investment potential and tax credit timing, I find PE firms are more likely to acquire fossil plants with greater solar development opportunities. PE acquisition leads to increased local solar development—a 3-percentage-point higher likelihood of new projects and 8% more solar capacity within five miles. These effects operate through operational improvements (battery storage investments) and PE relationships with institutional investors who finance solar projects. The findings suggest that regulations prohibiting PE investment in fossil fuels may unintentionally reduce clean energy investment.
Presentations: Olin Finance Conference (WashU) Poster, Columbia PE Conference, FIRS 2024, Private Markets Research Conference 2024, CICF 2025
🏆 Fixed Income Analyst Society Best Paper Award
🏆 E-Axes Forum Prize Honorable Mention
Dirty Assets Research Result
This paper studies how creditor rights affect small business bankruptcy outcomes. Exploiting the Small Business Reorganization Act of 2019 as an exogenous shock to creditor rights, I show that reducing creditor power increases Chapter 11 filings, but successful reorganization only increases for firms with secured debt and multiple creditors. The findings suggest that secured creditors exhibit liquidation bias and excess market power, while multiple-creditor contexts create coordination failures that impede contract renegotiation outside of bankruptcy.
Bankruptcy Research Result

Discussions

The Green Value of BigTech Credit
Dan Su, Peng Wang, Xinyi Wang, and Xiaoyun Yu
Conference: MFA 2026
Power Banks: Do Tax Equity Investors Add Value to Renewable Power Projects?
Daniel Garrett and Sophie Shive
Conference: Georgetown Steers Real Estate Conference
Bank Competition and Strategic Adaptation to Emergent Risks
Dasol Kim, Luke M. Olson, and Toan Phan
Conference: FIRS 2025
ESG Incidents and Fundraising in Private Equity
Teodor Duevski, Chhavi Rastogi, and Tianhao Yao
Conference: FIRS 2025
The Effects of a Large Energy Price Shock on Firm
Niels Framroze Møller and Johannes Poeschl
Conference: MFA 2025
Venture Capital Response to Government-Funded Basic Science
Roham Rezaei and Yufeng Yao
Conference: Columbia PE Conference 2025

Teaching

SM 132: Measuring Financial Value (BBA Core)
Boston University, 2025-Present
Overview of fundamental financial analyses including time value of money, interest rates, and basic valuation.
FIN 317: Corporate Financing Decisions (BBA)
University of Michigan, 2023 | Student Evaluation: 4.9/5
Advanced corporate financial management covering capital structure, payout policy, M&A, and risk management.